It is important in lighting design that there is no flicker and that there are no strobe effects. Visually perceptible flicker is definitely a deficiency. But even flicker at high frequencies which are beyond the visually perceptible range should not be ignored. Studies have shown that this type of flicker can have an influence on the human organism.
What do we mean by flicker?
Flicker describes very quickly changing brightness which, depending on the frequency, may be visually perceptible or not. In extreme cases frequencies of up to approx, 80 Hz can be recognized by the human eye which is referred to as flicker fusion frequency. Perceived flicker can be experienced by the observer as extremely disturbing. In exceptional cases it can even trigger photo-sensitive epileptic attacks.
The history of artificial lighting is a history of flicker
With the introduction of 50 Hz alternating current around 1900 the foundations for the problem of flicker were laid. When a lamp operates directly on an alternating current, it is periodically switched on and off 100 times per second. Through the afterglow of the carbon filament and the later spiral filament this topic did not play a role in the age of thermal radiators. This topic only became important with the development of gas discharge lamps. Due to the low level of inertia of the gas compared to that of the spiral filament, flicker became visible for sensitive persons when conventional ballasts with 50 Hz were used. When electronic ballasts were developed for gas discharge lamps at the beginning of the 1980s, this problem was seen as solved, since operating frequencies of 30 000 to 40 0000 Hz were used.
However, flicker took on a new meaning when semi-conductors were introduced for lighting purposes, since LEDs have a lower inertia than gas discharge lamps. Semi-conductors react at approx. 300 microseconds. This high-speed reaction of the LED used with pulse width modulation (PWM) then becomes its downfall with regard to the desired flicker-free operation. With PWM the LED is switched off completely within a short period of time and is then switched on fully again. The slower reaction of the human eye and of standard luxmeters means that this process is detected as a reduction of luminous flux. Usually frequencies of 100 to 400 Hz are used in the PWM operation of LED luminaires.
Frequently, for reasons of cost, very simply constructed drivers are used to operate LEDs, so that the LEDs often operate with double the mains frequency (in the EU 100 Hz, in the USA 120 Hz). There are additional influences such as an interruption of the power supply, faulty driver functions and, especially in conjunction with LED substitutes, the interaction with dimmers. Here it is often the case that the flicker of the LEDs is visibly perceptible and, even when switched off, there are regular flashes.
IEEE 1789-2015
Even frequencies in the range of 100–400 Hz can have a negative influence on the human organism, as is explained in IEEE 1789, published at the end of 2015, the Recommended Practices for Modulating Current in High-Brightness LEDs for Mitigating Health Risks to Viewer. In 2008 there was a work group within IEEE which was already dealing with flicker in LED lighting installations. The IEEE intends this recommendation as the basis for further standards e.g. in CIE or IES.
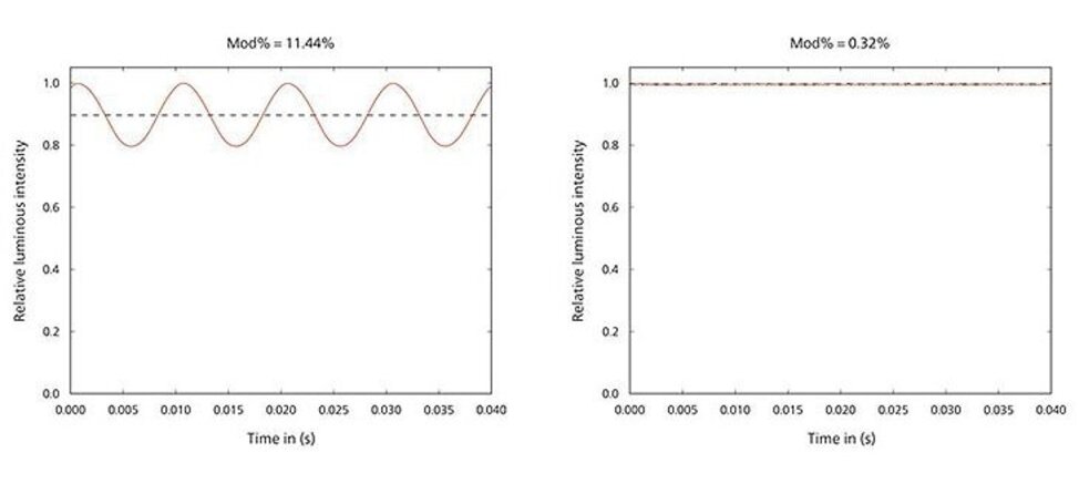
Frequency, Flicker Index and Modulation
Not only the frequency, which can lead to perceptible flicker below 80 Hz, but also the Flicker Index (FI) and the Modulation (Mod %) are listed as further criteria for evaluating flicker. The FI, which can already be found in some data sheets for LED luminaires, also shows low fluctuations in the waveform. A median value for the complete period is set and subsequently an evaluation is made of what percentage of operation is above the median value.

Modulation is known as the Michelson Contrast and describes the interval between the minimum and maximum of an oscillation. So a rectangular wave/oscillation such as in the operation with PWM, would be almost 100 % since the LED is constantly switched on and off at a full operating current/voltage. By comparison a halogen lamp on mains voltage has a mod % of approx. 10 %. LEDs operating on direct current have almost no mod % at all, as measurements made at DIAL have shown.

There are also other procedures which with the aid of e.g. the Fourier transform, define more exactly, what the wave looks like. However, these are not looked at more closely in the IEEE.
Measurements in DIAL's laboratory
A blanket evaluation of LED products is not possible, since there is a very wide range of products with varying frequencies and modulations on the market. To gain an impression of how wide this range is, the flicker properties qualities of a selection of lamps from different manufacturers were tested in DIAL's accredited photometric laboratory:
1. High voltage halogen lamp (46 W, 700 lm, E 27)
2. Low voltage halogen lamp (35 W, 620 lm, GU 5.3)
3. Fluorescent lamp (15 W, 820 lm, 2.500 K, E 27)
4. LED Retrofit (18 W, 1.521 lm, 2700 K, dimmable, E 27)
5. LED Retrofit (10 W, 806 lm, 2.700 K , E 27)
6. LED Retrofit (4 W, 235 lm, 2700 K, GU 10)
7. LLED Retrofit (5 W, 250 lm, 2700 K, GU 10)
8. LED Retrofit (10,4 W, 3.000 K, 390 lm, GU 10)


All lamps were operated on a stabilized electrical power supply in order to exclude any mains voltage faults. It is clear to see that all the products tested flicker at a frequency of approx. 100 Hz and that the band width of modulation fluctuates at the same frequency between <1 % and >90 %.
Effects on the human organism
The symptoms and effects resulting from flicker depend on a variety of factors and can be very individual. IEEE 1789 divides these into different basic categories and then subjects them to an analysis of the risks involved to describe how probable it is that the known effects will arise. The categorization of these effects is based, first and foremost, on the frequency since these effects have been most intensively researched and are known. Modulation usually plays a role, too, but in the IEEE recommendation concrete values are frequently not mentioned. From the knowledge we have it is, however, clear that modulation plays a more significant role at higher frequencies. The Flicker Index is not taken into closer consideration by the IEEE. The effects are divided into three general categories:
1. Visually perceptible
This refers to flicker at a frequency of approx. 3 - 70 Hz whereby the flimmer fusion frequency is decisive for the upper value and this is usually between 60 Hz and 80 Hz. A direct effect, even after very brief exposure, can be convulsions/seizure triggered by photosensitive epilepsy from which approx 0,1 % of the population suffer. When exposure is longer severe headaches and impaired vision are possible even with persons who are otherwise not particularly sensitive.
However, not each and every luminaire operated at 50 Hz leads to an epileptic fit. Visual stimuli between 15 and 20 Hz are the most likely to cause an attack. The modulation, the area included in the field of vision, the luminance and the light colour all play a role, too. The most well- known is the Pokémon Incident: during the broadcasting of the television cartoon series Pokémon in Japan at the end of 1997 there was a sequence with very strong visual stimuli which lasted for four minutes. There was a change from red to blue over a large area at a frequency of approx. 12 Hz. As a result of this broadcast there were 700 known cases of epileptic fits, 650 of these among children. With a reduction in luminance the danger of triggering epileptic fits also decreases. In the mesopic and scotopic range, namely using one's eyes at night and at dawn and dusk, there is practically no danger because here the flicker fusion frequency sinks to 15 Hz or 6 Hz.
2. Flicker perceived unconsciously
Above the flicker fusion frequency flicker is no longer perceived consciously but it can nevertheless have effects on our neurological system. This is because the optic nerve and the cortex can detect stimuli up to 160 Hz, depending on modulation and wave form. In the retina itself stimuli up to 200 Hz have been identified in tests. The effects proven may be headaches, migraine attacks and fatigue; other studies show a reduction in the ability to read and a general deterioration in vision, because the horizontal movement of the eye is impaired. In one study an increased risk of headaches was observed even at 100 Hz with a modulation of >35 %. One side effect is that there may be a shift in the perception threshold for consciously perceived flicker. This seems to rise when the exposure times are longer so that flicker is not consciously perceived until the frequencies are lower.
3. Dangers from strobe effects
Through the superimposition of different waveforms strobe or pearl effects can occur well into a frequency range of approx. 2,5 kHz. When machines rotate very quickly, the impression can be given that the machine is standing still which leads to an increased risk of injury. It is strongly recommended that LEDs should be operated above 3 kHz because at this frequency no evidence has been found of any effects on humans. Below this a threshold value is formulated which depends on the relation of frequency to modulation. Basically, independent of the operating frequency, the modulation should be a slow as possible even though a higher tolerance must be taken into account with an increase in frequency. This is shown in the following graph as a function based on frequency and modulation:

Of nearly all the effects of flicker on the human organisms it is only the effects of the frequency and the modulation which have been investigated, the former thoroughly, the latter in a basic form. There are, however, indications that the shape of a waveform can have an influence. It is therefore probable that in future further key values will be established. The IEEE sees the recommendation, first and foremost, as providing food for thought towards further standards and recognizes that there is a great need for research and development in this field.
Conclusion
There is no question that where the evaluation of flicker with LED light sources is concerned we are just at the beginning. Both the frequency and the modulation should be introduced into the data sheets of lamps and luminaires – even if these values cannot show the complete range of influence on the human organism. We should remember that even a frequency of 100-400 Hz, at which many LED luminaires operate nowadays, has negative effects on the human organism. Even when flicker is not directly visually perceptible in these ranges.
The most healthy lighting solution is quite clearly one which does not flicker, like the light which nature provides in the form of daylight. Further research is required in this field and will define additional criteria and quality standards in future. At least IEEE 1789 has made a beginning. Manufacturers and designers alike should now attempt to create new products and lighting installations which take this recommendation into consideration.
At light&building 2016 it was clear that already many manufacturers have a basic awareness of the problem of flicker in lighting. Products were on display where attention was drawn to the feature. In some cases even the frequency and the modulation were indicated.
